翰林刷题,免费考试真题网站!
首页
关于我们
首页
›
分类
› 详情
作者:高老师
时间:2024-07-29
浏览 0
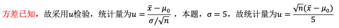
【正确答案】:
【题目解析】:
📱 扫码体验刷题小程序
扫一扫使用我们的微信小程序
热门题目
巴西是农业发达国家()
一般来讲,问卷法比下列哪种方法的科学化、标准化程度要低一些?( )
现行宪法规定,由于国家机关和国家工作人员侵犯公民权利而受到损失的人,有依照法律规定( )
下列公司财务活动中,属于经营活动的是
结合实际谈谈人事规划的作用。
请将括号中的词变为适当的形式,完成句子。ニュースで見たが、事件が( )らしいです。(起こる)
贸易术语
每个对象都是所属类的一个_______。
生命周期法系统开发是____、软件工程师、程序员以及最终用户建立计算机信息系统的一个过程。
freshwater fish
某批发企业销售甲产品,第三季度各月预计的销售量分别为1000件、1200件和1100件,企业计划每月月末产品存货量为下月预计销售
危机过渡到萧条的标志是
➕
➖
📋
⬆️
已复制到剪贴板