设总体
,
已知,
为来自总体X的样本,
为样本均值。假设
,
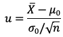
已知,检验统计量
,给定显著性水平α,则
的拒绝域为( )
A、
B、
C、
D、
【正确答案】:C
【题目解析】:
本题,总体方差已知,对单个正态总体均值进行检验,采用u检验。其拒绝域为:
,即:
。
设总体
,
已知,
为来自总体X的样本,
为样本均值。假设
,
已知,检验统计量
,给定显著性水平α,则
的拒绝域为( )
本题,总体方差已知,对单个正态总体均值进行检验,采用u检验。其拒绝域为:
,即:
。
📱 扫码体验刷题小程序
扫一扫使用我们的微信小程序