设样本
来自正态总体N(μ,1),假设检验问题为:
,则在
成立的条件下,对显著水平α,拒绝域W应为( )
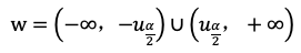
A、
B、
C、
D、
【正确答案】:A
【题目解析】:
正态总体N(μ,1),方差已知,单个正态总体的均值检验用u检验。其拒绝域为
。即
。
设样本
来自正态总体N(μ,1),假设检验问题为:
,则在
成立的条件下,对显著水平α,拒绝域W应为( )
正态总体N(μ,1),方差已知,单个正态总体的均值检验用u检验。其拒绝域为
。即
。
📱 扫码体验刷题小程序
扫一扫使用我们的微信小程序