( )

作者:高老师 浏览 1

( )
A、
B、
C、
D、
【正确答案】:B
【题目解析】:

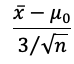
本题,方差已知,用u检验:u检验统计量通式为:本题,σ=3,故检验统计量为:答案为B。


📱 扫码体验刷题小程序

微信小程序二维码

扫一扫使用我们的微信小程序

热门题目

已复制到剪贴板