翰林刷题,免费考试真题网站!
首页
关于我们
首页
›
分类
› 详情
作者:高老师
时间:2024-07-29
浏览 0
A、
B、
C、
D、
【正确答案】:B
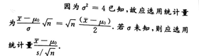
【题目解析】:
📱 扫码体验刷题小程序
扫一扫使用我们的微信小程序
热门题目
其士女之问桃叶渡、游雨花台者,趾相错也
最早产生的,也是最简单的一种企业形式是( )
玻璃金字塔是著名设计师( )设计的。
世界教育史上第一本幼儿教育专著--《母育学校》的作者是( )
建立索引的数据对象通常应具有较多的操作是
The publication of Far from the Madding Crowd in 1874 enabled Th
Idioms each are a semantic ______,though each consists of more t
《企业会计准则第33号一合并财务报表》规定,合并财务报表的合并范围应以控制为基 础予以确定,下列属于控制基本要素的有
域:
依据WTO《与贸易有关的投资措施协议》(即TRIMs协议),下列属于违反该协议的投资措施有()
以下诗篇使诗人岑参的有()。
组织内设公关部门的特点有哪些?
➕
➖
📋
⬆️
已复制到剪贴板