由来自正态总体X~N(μ,4²)、容量为16的简单随机样本,得样本均值为53,则未知参数μ的置信度为0.95的置信区间是( )。

作者:高老师 浏览 0

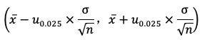
由来自正态总体X~N(μ,4²)、容量为16的简单随机样本,得样本均值为53,则未知参数μ的置信度为0.95的置信区间是( )。
【正确答案】:(51.04,54.96)
【题目解析】:

α=1-0.95=0.05。置信度为0.95的置信区间是故未知参数μ的置信度为0.95的置信区间是(51.04,54.96)


📱 扫码体验刷题小程序

微信小程序二维码

扫一扫使用我们的微信小程序

热门题目

已复制到剪贴板