从一个正态总体中随机抽取n= 20 的一个随机样本,样本均值为17. 25,样本标准差为3.3,则总体均值的95%的置信区间为( )。![]()
A、(15. 97,18. 53)
B、(15. 71,18. 79)
C、(15. 14,19. 36)
D、(14. 89,20. 45)
【正确答案】:B
【题目解析】:
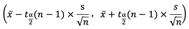
由题可知,α=1-95%=0.05,总体方差未知,只知样本标准差,置信区间的计算公式为:
其中,
为样本均值,n为样本容量,n=20,s为样本标准差,代入数值计算得:
故置信区间为(15. 71,18. 79)。答案为B。