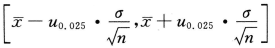
是从正态整体N中抽取的样本,若已知,,则的置信水平为0.95的置信区间是()

作者:高老师 浏览 1

是从正态整体N中抽取的样本,若已知,,则的置信水平为0.95的置信区间是()
A、
B、
C、
D、
【正确答案】:A
【题目解析】:已知时单个正态总体的置信水平为的置信区间是,且,所以本题选A项。

📱 扫码体验刷题小程序

微信小程序二维码

扫一扫使用我们的微信小程序

热门题目

已复制到剪贴板