设总体X~N(μ,σ²),其中μ未知,
为来自该总体的样本,在μ的无偏估计![]()
中,较有效的是( )
A、
B、
C、
D、
【正确答案】:B
【题目解析】:
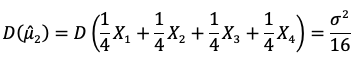
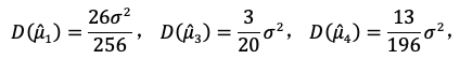
无偏估计量的方差越小越有效。总体方差为σ²,样本容量为4,故
。
,同理可得,
比较可得
最小,故
最有效。
设总体X~N(μ,σ²),其中μ未知,
为来自该总体的样本,在μ的无偏估计![]()
中,较有效的是( )
无偏估计量的方差越小越有效。总体方差为σ²,样本容量为4,故
。
,同理可得,
比较可得
最小,故
最有效。
📱 扫码体验刷题小程序
扫一扫使用我们的微信小程序