设为来自总体X的样本,且,为样本均值,则____________

作者:高老师 浏览 1

为来自总体X的样本,且为样本均值,则____________


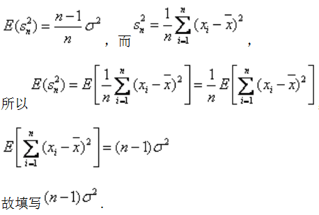
【正确答案】:



【题目解析】:

📱 扫码体验刷题小程序

微信小程序二维码

扫一扫使用我们的微信小程序

热门题目

已复制到剪贴板