翰林刷题,免费考试真题网站!
首页
关于我们
首页
›
分类
› 详情
( )
作者:高老师
时间:2024-07-29
浏览 2
( )
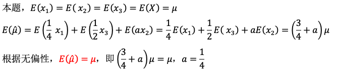
【正确答案】:1/4
【题目解析】:
📱 扫码体验刷题小程序
扫一扫使用我们的微信小程序
热门题目
态度是我们对待特定的事物、人、观念的一种持续的心理系统,这个系统包括( )
指出并解释在RZT的发展过程中可能发生过的三种兼并类型。
学前教育机构的环境一般划分为以下哪几种类型
儿童社会性行为发展的最高层次是( )
在企业会计制度中对(总分类)会计科目不作详细规定,只提出了一般要求,因此企业可以根据需要自行设计。
因为是外语大学,所以英浯最多。
专家系统 (ES)
包含主要初级产品的进出口价格、综合及分类价格指数等资料的刊物是
简述席勒的美育思想在西方美育史上的意义。
简述诗歌概念的发展。
广域课程又称【】
计算机系统性能的两个基本指标是吞吐率和
➕
➖
📋
⬆️
已复制到剪贴板