设总体X的概率密度含有未知参数( )

作者:高老师 浏览 1

设总体X的概率密度含有未知参数( )
【正确答案】:1/4
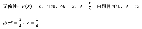
【题目解析】:

📱 扫码体验刷题小程序

微信小程序二维码

扫一扫使用我们的微信小程序

热门题目

已复制到剪贴板