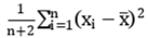
设为来自总体X的样本(n>1),且,则的无偏估计为( )

作者:高老师 浏览 1

为来自总体X的样本(n>1),且,则的无偏估计为( )


A、
B、
C、
D、
【正确答案】:A
【题目解析】:

根据方差的无偏估计:


📱 扫码体验刷题小程序

微信小程序二维码

扫一扫使用我们的微信小程序

热门题目

已复制到剪贴板