翰林刷题,免费考试真题网站!
首页
关于我们
首页
›
分类
› 详情
作者:高老师
时间:2024-07-29
浏览 0
A、1/6
B、1/3
C、4/9
D、1/2
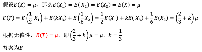
【正确答案】:B
【题目解析】:
📱 扫码体验刷题小程序
扫一扫使用我们的微信小程序
热门题目
下列固定资产折旧方法中,属于加速折旧方法的有( )。
如何构建开放型经济新体制?
区域分工差异的基础是 ()
14岁的刘某在某商场买了一双价值50元人民币的球鞋,这一买卖行为 ( )
简述工业企业的系统特征
1918年开设广告学课程的大学是
患夜盲症的幼儿可能是体内缺乏()
一般来说,如果资本的需求小于资本的供给,利率会较低。
某机械公司以一批施工机械投资于一建筑公司,协议联营10年。该批机械作价100万元, 机械公司每年分配利润15万元,协议期满后建筑
国际分工形成和发展的决定性因素是()
两侧小脑半球病变时,患者步态呈
请对I型糖尿病患儿及家长做饮食控制和胰岛素注射方法指导。
➕
➖
📋
⬆️
已复制到剪贴板