作者:高老师 浏览 0


A、
B、
C、
D、
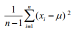
【正确答案】:C
【题目解析】:总体方差的无偏估计量为样本的方差,则四个选项中,C为样本的方差

📱 扫码体验刷题小程序

微信小程序二维码

扫一扫使用我们的微信小程序

热门题目

已复制到剪贴板