翰林刷题,免费考试真题网站!
首页
关于我们
首页
›
分类
› 详情
()
作者:高老师
时间:2024-07-28
浏览 1
()
A、
B、
C、
D、
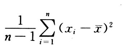
【正确答案】:A
【题目解析】:
总体方差
的无偏估计是样本方差
📱 扫码体验刷题小程序
扫一扫使用我们的微信小程序
热门题目
《日瓦戈医生》的作者是()
简述广告定性预测的作用。
儿童进行空气浴时可接受的最低空气温度是( )
简述存货盘存制度的方法。
知らない町でに、地図が( )、だいじょうぶです。
We have succeeded______ obtaining an order from them.
已知市场A的需求曲线Q1=1000-2P1,B市场上的需求曲线为Q2=1200-3P2,已知总成本函数为C(Q)=350+2(Q
在国际技术许可合同中,在一定的地域和期限内,受方对受让的技术享有独占的使用权,供方和任何第三方都不得使用该技术制造和销售相关产品
所谓 就是指能将词语按照顺序组合起来并在组合过程中产生语法意义的一种重要的手段,它是汉语区别于其他语言的重要表现。
下面各组音中全部为擦音的是( )
下列属于危险性心律失常的是
对学生临床能力的评估可采用( )
➕
➖
📋
⬆️
已复制到剪贴板