设是来自泊松分布P(λ)的样本,则参数λ的极大似然估计是 。

作者:高老师 浏览 0

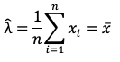
是来自泊松分布P(λ)的样本,则参数λ的极大似然估计是


【正确答案】:



【题目解析】:

由题设,似然函数为:解得λ的极大似然估计是:


📱 扫码体验刷题小程序

微信小程序二维码

扫一扫使用我们的微信小程序

热门题目

已复制到剪贴板