翰林刷题,免费考试真题网站!
首页
关于我们
首页
›
分类
› 详情
作者:高老师
时间:2025-10-23
浏览 0
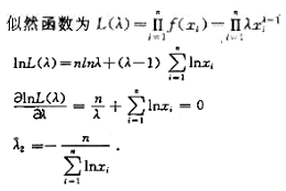
【正确答案】:
【题目解析】:
📱 扫码体验刷题小程序
扫一扫使用我们的微信小程序
热门题目
_______ the bosses cannot do without profit, workers have an edg
耻其技之不若
下列属于综合指数的有
下列陈述最好地描述了“Y”式沟通网络的是
产生死锁的四个必要条件是____、占有且等待资源、非抢夺式分配和循环等待资源。
采用Go-back-N策略的顺序接收发送协议发送8个帧,编号为0~7,从0号开始发送。 当发送完3号帧后开始连续接收到0号帧和1
简述问题识别引起的刺激因素。
简述《长生殿》的曲词艺术。
下列关于病房专题报告和研讨会的表述正确的是
简述社区护理的特点。
禁忌做过分用力的等长收缩练习,并避免屏气动作的患者是
下列哪项属于胃十二指肠溃疡外科治疗的适应证()
➕
➖
📋
⬆️
已复制到剪贴板