翰林刷题,免费考试真题网站!
首页
关于我们
首页
›
分类
› 详情
作者:高老师
时间:2024-07-28
浏览 0
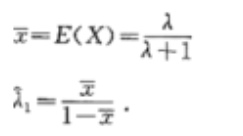
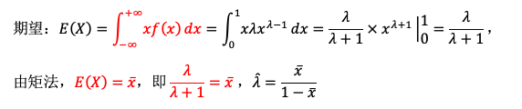
【正确答案】:
【题目解析】:
📱 扫码体验刷题小程序
扫一扫使用我们的微信小程序
热门题目
社会主义的分配原则是( )
当领导者面对一个非处理不可的事情时,不去直接处理,而是先搁一搁,去处理其他问题。这种调适人际关系的方法就是( )
判断函数 的奇偶性.
组距分组次数分布表
以下单词不能和very同义替换的是?()
若采用顺序存储(一维数组)结构存储一棵如题7图所示的二叉树,根结点1的下标为l,剥结点4的下标为
最传统和古老的组织结构形式是()
Correct or improve the translation of the following English sent
制造资源计划虽然解决了问题,但是并没有涉及企业内部更深层次的问题( )。
诗句“晓耕翻露草,夜榜响溪石”出自()。
社区健康护理的特点是侧重于社区的________和环境的健康管理。
首先会影响信息发送者发送信息所选用的语言、表达方式沟通形式的因素是
➕
➖
📋
⬆️
已复制到剪贴板