翰林刷题,免费考试真题网站!
首页
关于我们
首页
›
分类
› 详情
作者:高老师
时间:2024-07-28
浏览 1
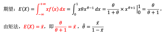
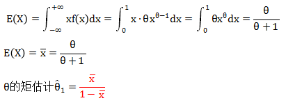
【正确答案】:
【题目解析】:
📱 扫码体验刷题小程序
扫一扫使用我们的微信小程序
热门题目
下列《雨巷》中的意象,可以被解读为象征了“美”与“理想”的是
社会兴办潜在利润为正值的非营利企业的主要目的是利用低工资( )或劳务。
( )是指用超越法律的伦理标准来分析战略管理者在战略决策时可能遇到的形形色色的伦理问题,以及管理者可以采取哪些步骤以保证其战略决
家庭教育指导个体社会化的整个过程是为人父母后学习当父母、为人祖父母后学习如何当祖父母的继续社会化的过程。因此学前儿童家庭教育指导
简述在进行阳性强化时应注意的问题。
人本主义理论的代表人物是( )
掉期交易的类型有哪些?
找出横线部分的假名あまり 無理を しては いけませんよ。()
joint venture
设连续型随机变量X的概率密度为f(x)={x/2,0<x<2,则{0,其他P{-1≤X≤1}=_____.()
企业出纳人员不得兼管的工作有
通过大些的商业、物流、外贸等流通企业及其所属网络,打开国内外市场,这种渠道开通战略属于( )。
➕
➖
📋
⬆️
已复制到剪贴板