翰林刷题,免费考试真题网站!
首页
关于我们
首页
›
分类
› 详情
作者:高老师
时间:2024-07-28
浏览 0
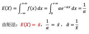
【正确答案】:
【题目解析】:
📱 扫码体验刷题小程序
扫一扫使用我们的微信小程序
热门题目
属于对员工忠诚管理的策略的是( )
“目不视恶色,耳不听淫声,口不出傲言”记录的是中国西周时期实施的
夸美纽斯的代表作( )提出了将一切知识教给一切人的泛智学说。
“有球迷喜欢所有参赛球队”为真,则以下不可能为真的是( )。
下列各项中,符合融资租赁业务认定条件的有( )。
包装一般是指按一定技术、方法而采用的容器、材料及辅助物,主要包括()
浊声母在金元时代的北方话中各自转变为发音部位相同的清声母。浊塞音和浊塞擦音清化以后,平声送气,仄声不送气。
一种既能增添学生情趣,又能训练艺术语言,还能训练形体语言的综合训练方式是
简要分析纳兰性德《金缕曲》(德也狂牛耳)上片的用典及其艺术效果。
下列不属于从文献的内容特征进行检索的途径是
软骨病是幼儿期常见的一种____________疾病。
在国外居留一年以上的各类出国人员,在回国后____个月内到指定卫生专业机构做HIV清检查。()
➕
➖
📋
⬆️
已复制到剪贴板