翰林刷题,免费考试真题网站!
首页
关于我们
首页
›
分类
› 详情
作者:高老师
时间:2024-07-28
浏览 3
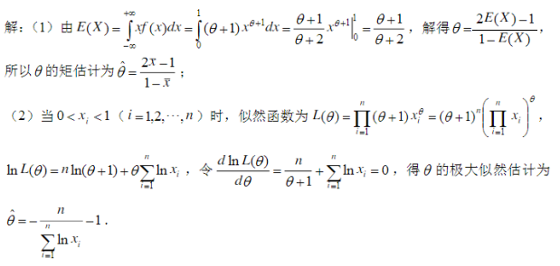
【正确答案】:
【题目解析】:
📱 扫码体验刷题小程序
扫一扫使用我们的微信小程序
热门题目
下列各组矛盾中,在社会发展中起决定作用的是
以下属于最基本的公司财务报表的是()
下列《行路难》(其一)的诗句中,运用了吕尚典故的是()
统计总体包括()
非物质社会是以_________为核心的社会。
丹佛发育筛选测验不能检查出语言的发展状况。
通常情况下,数据流程图分为( )个主要层次。
loan
In 1850,____ went to a farm in Massachusetts, where Nathaniel Ha
简述套期保值的类别
丰富学生______的课外语文活动注重把语文学习与学习做人结合起来。
语言符号的所指
➕
➖
📋
⬆️
已复制到剪贴板