设总体X服从区间[0,3θ]上的均匀分布,未知参数θ>0,
为样本均值,则θ的矩估计是( )
A、
B、
C、
D、
【正确答案】:B
【题目解析】:
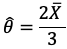
总体X服从区间[0,3θ]上的均匀分布,E(X)=3θ/2,由矩法,应有3θ/2=
,即
。
设总体X服从区间[0,3θ]上的均匀分布,未知参数θ>0,
为样本均值,则θ的矩估计是( )
总体X服从区间[0,3θ]上的均匀分布,E(X)=3θ/2,由矩法,应有3θ/2=
,即
。
📱 扫码体验刷题小程序
扫一扫使用我们的微信小程序