翰林刷题,免费考试真题网站!
首页
关于我们
首页
›
分类
› 详情
作者:高老师
时间:2024-07-28
浏览 0
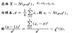
【正确答案】:
【题目解析】:
📱 扫码体验刷题小程序
扫一扫使用我们的微信小程序
热门题目
我国对资本主义工商业进行社会主义改造所采取的主要形式是
国家垄断资本主义的基本形式包括( )
在科技十分落后的古代,人们梦想过许多东西,如千里眼、顺风耳、飞毯、神枪之类,但像现代生活中普及的电话、电视、电脑等,是那时的人们
社会主义初级阶段就是( )
债券投资的收益率可以表现为( )
我国早在 ____ 时期就出现了任官亲族回避之例。
把自己的孩子作为研究对象,写出了3本著名儿童心理发展著作的教育家是
幼儿园小朋友听老师讲《龟兔赛跑》的故事,头脑中呈现出乌龟和兔子赛跑的生动形象。这种心理活动属于( )
Melville’s semi- autobiographical novel, ______, concerns the su
Though small in size, this supermarket enjoys an excellent( )for
权益乘数越高,则财务杠杆程度越低,偿债能力相对越弱。
国际贷款中,最常见的物权担保有
➕
➖
📋
⬆️
已复制到剪贴板