翰林刷题,免费考试真题网站!
首页
关于我们
首页
›
分类
› 详情
———————
作者:高老师
时间:2024-07-28
浏览 1
———————
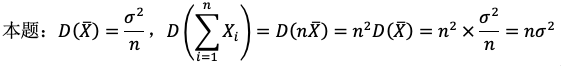
【正确答案】:
【题目解析】:
样本均值方差为总体方差的1/n
📱 扫码体验刷题小程序
扫一扫使用我们的微信小程序
热门题目
在编制预算时,对预算支出均以零为基础,从实际需要与可能出发,逐项审核各项费用开支的必要性、合理性及数额大小,从而确定预算成本费用
第一次债权人会议由人民法院召集。以后的债权人会议,在人民法院认为必要时或者管理人、债权人委员会、占债权总额【】以上的债权人向债权
梅奥等人认为,提高劳动生产效率的主要途径是()
产品的新颖性、实用性、舒适性,产品的整体优良设计和售后服务等是满足人们精神上的需求,是
80年代末,新西兰政府先后出台了一系列教育报告,其中建议设立学前教育管理系统的报告是( )
选定作业成本动因时必须注意的两个问题是什么?
股东以现金投入的资本,应以实际收到或者存入企业开户银行的金额,作为盈余公积入账,
对于非同一控制下的企业合并,其交易的基础是( )
审计人员在审查某企业6月份销售业务时,发现以下情况:(1)厂部领用本企业产品20件,按成本价转账。(2)对外销售积压材料,原材料
描写了小职员汪文宣和曾树生的悲剧故事,从而“控诉了那个不合理的社会制度,那个一天天烂下去的使善良人受苦的制度”(巴金语)的作品是
指令系统的确定属于
试用期包含在聘用合同和劳动合同期限内。如果劳动合同仅约定试用期的,则试用期不成立,该期限为劳动合同期限。
➕
➖
📋
⬆️
已复制到剪贴板