翰林刷题,免费考试真题网站!
首页
关于我们
首页
›
分类
› 详情
作者:高老师
时间:2024-07-28
浏览 0
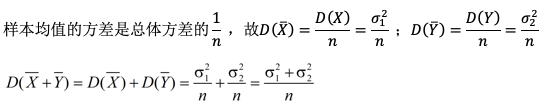
【正确答案】:
【题目解析】:
📱 扫码体验刷题小程序
扫一扫使用我们的微信小程序
热门题目
在金字塔客户的第一类分类中,在过去特定期间内,依购买金额所占最多的 1%的客户是( )
简述发行新股的有利之处。
长辈给小辈送礼时,要考虑小辈的____。
毛泽东关于党的建设的核心内容和显著特点,是重视党的
<img src="https://learnfile.20230611.cn/learnAppQuestion/32/d9/3
品达最著名的诗作是()
下列属于家庭历史功能的是
柏拉图学园门口竖着一块牌子“不懂几何者不得入内”。这天来了一群人,他们都是懂几何 的。如果牌子上的话得到准确的理解和严格的行,那
To our surprise, the students___________ the task successfully i
Answer the following questions. Your answers should be clear and
下列属于工业制成品市场的是()
避免国际重复征税的方法有()
➕
➖
📋
⬆️
已复制到剪贴板