
A、

B、

C、

D、

【正确答案】:C
【题目解析】:
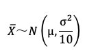
总体X服从正态分布,那么样本均值也服从正态分布。样本均值的数学期望与总体的期望相同,样本均值的方差为总体方差的1/n。总体的均值E(X)=μ,总体的方差D(X)=σ²。本题,样本容量n=10,样本均值的期望和方差分别为:
由此可知:





总体X服从正态分布,那么样本均值也服从正态分布。样本均值的数学期望与总体的期望相同,样本均值的方差为总体方差的1/n。总体的均值E(X)=μ,总体的方差D(X)=σ²。本题,样本容量n=10,样本均值的期望和方差分别为:
由此可知:
📱 扫码体验刷题小程序
扫一扫使用我们的微信小程序