()

作者:高老师 浏览 0

()
A、
B、
C、
D、
【正确答案】:D
【题目解析】:

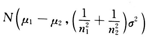
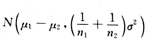
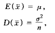
由样本均值、方差与总体均值、方差的关系可知由此可得,所求随机变量服从的分布


📱 扫码体验刷题小程序

微信小程序二维码

扫一扫使用我们的微信小程序

热门题目

已复制到剪贴板