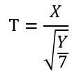
设随机变量X~N(0,1),Y~χ2(7),其中X,Y相互独立,令,则T~( )

作者:高老师 浏览 0

设随机变量X~N(0,1),Y~χ2(7),其中X,Y相互独立,令,则T~( )


A、t(6)
B、t(7)
C、F(1,7)
D、χ2(6)
【正确答案】:B
【题目解析】:根据T~t(n)分布的定义得n=7,随机变量T~t(7)分布

📱 扫码体验刷题小程序

微信小程序二维码

扫一扫使用我们的微信小程序

热门题目

已复制到剪贴板