作者:高老师 浏览 2


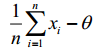
A、
B、
C、
D、
【正确答案】:A
【题目解析】:考查统计量的定义,统计量中不含有任何未知参数。A为样本的均值,显然是统计量,而BCD均与未知参数θ有关,因此不是统计量答案为A

📱 扫码体验刷题小程序

微信小程序二维码

扫一扫使用我们的微信小程序

热门题目

已复制到剪贴板