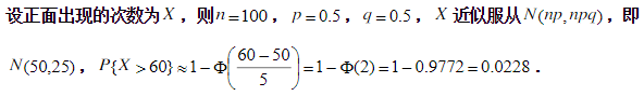
将一枚均匀硬币连掷100次,则利用中心极限定理可知,正面出现的次数大于60的概率近似为____________

作者:高老师 浏览 1

将一枚均匀硬币连掷100次,则利用中心极限定理可知,正面出现的次数大于60的概率近似为____________
【正确答案】:

0.0228


【题目解析】:

📱 扫码体验刷题小程序

微信小程序二维码

扫一扫使用我们的微信小程序

热门题目

已复制到剪贴板