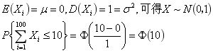
设随机变量独立同分布,,则由,中心极限定理得近似于

作者:高老师 浏览 2

设随机变量独立同分布,,则由,中心极限定理得近似于


B、
C、
D、
【正确答案】:C
【题目解析】:因此本题选择C项

📱 扫码体验刷题小程序

微信小程序二维码

扫一扫使用我们的微信小程序

热门题目

已复制到剪贴板