翰林刷题,免费考试真题网站!
首页
关于我们
首页
›
分类
› 详情
作者:高老师
时间:2024-07-28
浏览 2
B、0.25
C、0.5
D、1
【正确答案】:C
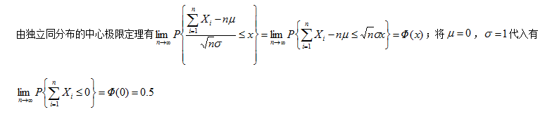
【题目解析】:
所以,答案选择C
📱 扫码体验刷题小程序
扫一扫使用我们的微信小程序
热门题目
太平天国失败的原因和教训
_____是指团队成员之间互相吸引并愿意留在团队中,为团队承担义务的强烈程度()
五四运动时期新文化运动期间,对书籍设计做出重要贡献的人物是( )
MEP和____________可以推出SEP。
资产负债表日后的非调整事项是指()
简述布雷顿森林体系的有利作用。
(中译英)进口配额
引入进程的原因是( )
请求页式管理中,缺页中断率与进程所分得的内存页面数、____和进程页面流的走向等因素有关。()
已知4×3矩阵A的列向量组线性无关,则r(AT)=
关于业务工作底稿的描述,正确的是( )。
下列属于需求导向定价法的有()
➕
➖
📋
⬆️
已复制到剪贴板