翰林刷题,免费考试真题网站!
首页
关于我们
首页
›
分类
› 详情
作者:高老师
时间:2024-07-28
浏览 1
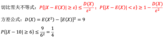
【正确答案】:
【题目解析】:
📱 扫码体验刷题小程序
扫一扫使用我们的微信小程序
热门题目
收购公司对目标公司提出收购要约时,其出价不仅有现金、股票,而且还有认股权证、可转换债券等多种形式的混合属于()。
①Green is an important color in nature. It is the color of grass
2012年11月29日,习近平总书记率中央政治局常委和中央书记处的同志来到国家博物馆。在参观《复兴之路》展览时,他深情地指出:“
在Word中,要在当前编辑的文档中插入页眉和页脚,应单击()菜单。
某手机制造商根据市场预测,计划2010年生产B系列产品9万部。2004-2009年该系列产品的产量及成本历史资料如下表所示。
庞巴维克认为时差利息存在的主要原因有
A Healthy Appetite for World MarketsAn English schoolgirl who wa
The goal of pricing for each marketer is().
在主存的存储管理中,把逻辑地址转换为绝对地址的工作称为_____或叫重定位。
The book An American Tragedy is written by ____
关于签订通商航海条约说法错误的是()
“一个人的成功,只有15%是由于他的专业技术,而85%则要靠人际关系和他的处世能力”。这句话的提出者是( )
➕
➖
📋
⬆️
已复制到剪贴板