翰林刷题,免费考试真题网站!
首页
关于我们
首页
›
分类
› 详情
作者:高老师
时间:2024-07-28
浏览 0
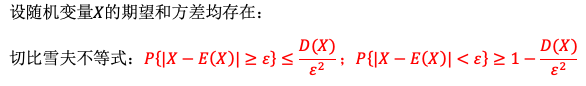
【正确答案】:
【题目解析】:
📱 扫码体验刷题小程序
扫一扫使用我们的微信小程序
热门题目
有人说:“想要走得快,就单独上路;想要走得远,就结伴同行。” 你同意这种说法吗?它引发了你怎样的感悟与思考?请自选角度,自拟题目
根据我国宪法,下列自然资源中,专属国家所有的是()
影响消费决策的因素包括( )
商品在流通渠道内的转移表现为两种形式:一种是()的转移,另一种则是实物形态的转移。
“概念重建主义课程范式”的基本价值取向是
什么是破产清算?破产清算包括哪些方面的内容?
解释掉期交易的定义。
わさび()醤油の中()入れてください。
以下程序的输出是8,请将程序补充完整。
寡头垄断的特点是
1905年兴中会的成立,标志着资产阶级民主革命高潮的到来。革命派诗人自觉地以诗歌为武器,鼓吹民族民主革命,标榜爱国主义。( )
酒依赖患者康复阶段的治疗药物中,双硫仑的作用机制是()
➕
➖
📋
⬆️
已复制到剪贴板