翰林刷题,免费考试真题网站!
首页
关于我们
首页
›
分类
› 详情
作者:高老师
时间:2024-07-28
浏览 0
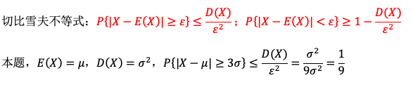
【正确答案】:
【题目解析】:
📱 扫码体验刷题小程序
扫一扫使用我们的微信小程序
热门题目
下列不属于客户服务内部质量管理特点的是
屈原留存下来的作品有()
经济规律产生的经济条件是()
( )又称德尔斐法。
反映一个国家和地区经济发展水平和发展方向的是
介于轻度智力落后与正常智力水平之间的智力状态,又称为学习迟缓的儿童属于
对学前特殊儿童进行心理辅导的基本思路:一是着重发展特殊儿童的( )。
在建立工作簿之后,向工作表内输人数据有几种方式?
一般情况下,由卖方办理出口手续的术语有( )
利润表质量分析
目前常用的企业资源计划的简称是()
下列会计信息的外部使用者中,与企业有直接经济利益关系的是()
➕
➖
📋
⬆️
已复制到剪贴板