
求D(X),D(Y)
【正确答案】:

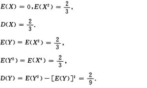
【题目解析】:方差的计算公式:D(X)=E(X²)-[E(X)]²(1)E(X)=-1×(1/3)+0×(1/3)+1×(1/3)=0X²的可能取值有:0、1P{X²=0}=P{X=0}=1/3P{X²=1}=P{X=-1}+P{X=1}=2/3E(X²)=0×(1/3)+1×(2/3)=2/3故D(X)=E(X²)-[E(X)]²=2/3(2)E(Y²)=E(Y)=E(X²)=2/3故D(Y)=E(Y²)-[E(Y)]²=2/9


📱 扫码体验刷题小程序
扫一扫使用我们的微信小程序