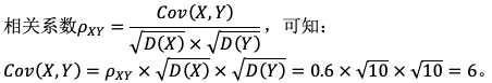
设随机变量X与Y的相关系数为0.6,且D(X)=D(Y)=10,则Cov(X,Y)=( )。

作者:高老师 浏览 0

设随机变量X与Y的相关系数为0.6,且D(X)=D(Y)=10,则Cov(X,Y)=( )。
【正确答案】:6
【题目解析】:

📱 扫码体验刷题小程序

微信小程序二维码

扫一扫使用我们的微信小程序

热门题目

已复制到剪贴板