翰林刷题,免费考试真题网站!
首页
关于我们
首页
›
分类
› 详情
作者:高老师
时间:2024-07-28
浏览 0
【正确答案】:
【题目解析】:
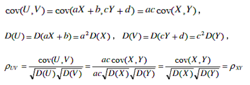
考查协方差、方差的性质,以及相关系数的计算:
📱 扫码体验刷题小程序
扫一扫使用我们的微信小程序
热门题目
德国人忌食动物的五脏,美国人忌食核桃。
在原始社会的生产条件下,人们只能把获得较多的食物以满足生活所需作为自己的理想,根本想不到使用电子计算机生活。这说明,理想信念具有
计算∫π/40[x/(1+cos2x)]dx.
马克思主义认为,企业管理具有()
财务管理中的风险按形成的原因可分为( )和财务风险
采用销售百分比法预测外部筹资额时,以下属于随销售额变化而变化的项目是( )
造型的款式可依商品的不同划分为流行样式、规范样式或革新样式。其中流行样式的特点是()?
某商场2006年彩电销量为10000台,年末库存100台,这两个绝对指标是
我国政府财政会计划分为省、市、县、乡镇四级。
关系R和S如下表,则关系T是R和S的
There is(are) ( ) allomorphemic word(s) in the following words:
有甲、乙两批种子,发芽率分别为0.8和0.7.在两批种子中各任取一粒,求:(1)两粒种子都能发芽的概率;(2)至少有一粒种子能发
➕
➖
📋
⬆️
已复制到剪贴板