翰林刷题,免费考试真题网站!
首页
关于我们
首页
›
分类
› 详情
————
作者:高老师
时间:2024-07-28
浏览 0
————
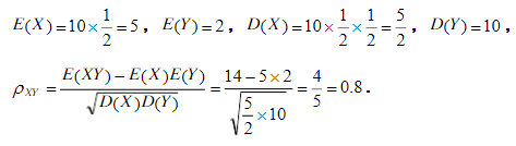
【正确答案】:
0.8
【题目解析】:
📱 扫码体验刷题小程序
扫一扫使用我们的微信小程序
热门题目
领导权力影响力的主要构成因素包括
文艺复兴时期的抒情诗集《歌集》的作者是
人事录用的程序包括哪些步骤?
下列不属于视知觉特性的是【 】
低效率的邮递系统,安装着程序过时的陈旧的计算机,容易定期崩溃的服务系统,定期掉线的电话交换台无法为呼叫者接通等都是某些组织的沟通
把记忆分为有意记忆和无意记忆是根据幼儿活动( )
什么是多步式利润表?其主要作用有哪些?
The British are famous for inventions that have changed the worl
In a good marriage, both husband and wife work hard to solve wha
已知关系R和S,经连接操作得到关系Z,如题9图所示,则R和S的连接类型
专设销售机构人员的工资应计入()
➕
➖
📋
⬆️
已复制到剪贴板