翰林刷题,免费考试真题网站!
首页
关于我们
首页
›
分类
› 详情
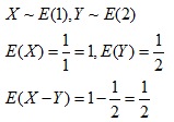
E(X-Y)
作者:高老师
时间:2024-07-28
浏览 2
E(X-Y)
【正确答案】:
【题目解析】:
📱 扫码体验刷题小程序
扫一扫使用我们的微信小程序
热门题目
简答“分权式”财务管理模式的优缺点。
在流通活动中,创造时间效用与空间效用的是
试举例分析称职父母的典型特征。
要鼓励儿童用自己的想法布置小天地,可以在( )
A number of economics and political blogs have recently caught o
_______是SQL语言的核心功能,也是数据库中使用得最多的操作。
在Access数据库中,表之间的关系都定义为()
下列各项中,不属于租赁初始直接费用的是
在实际工作中,下列属于产品生产成本的是()
李斯《谏逐客书》中,下列文句中前后两部分属于重物与轻人进行对比的是( )。
话剧《南归》所着力营造的诗意氛围的特征是
简述综合性护理课程的三种方法。
➕
➖
📋
⬆️
已复制到剪贴板