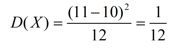
X~U(10,11),那么D(X)=( )。

作者:高老师 浏览 0

X~U(10,11),那么D(X)=( )
【正确答案】:1/12
【题目解析】:随机变量X服从[a,b]上的均匀分布,则D(X)=(b-a)²/12

📱 扫码体验刷题小程序

微信小程序二维码

扫一扫使用我们的微信小程序

热门题目

已复制到剪贴板