设随机变量X与Y相互独立,且X~N(0,1),Y~N(0,4),则D(2X+Y)=( )

作者:高老师 浏览 1

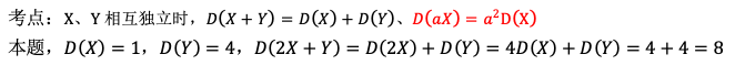
设随机变量X与Y相互独立,且X~N(0,1),Y~N(0,4),则D(2X+Y)=( )
【正确答案】:8
【题目解析】:

📱 扫码体验刷题小程序

微信小程序二维码

扫一扫使用我们的微信小程序

热门题目

已复制到剪贴板