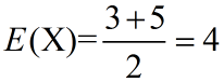
X~U(3,5),那么E(X)=( ).

作者:高老师 浏览 0

X~U(3,5),那么E(X)=( ).
【正确答案】:4
【题目解析】:

📱 扫码体验刷题小程序

微信小程序二维码

扫一扫使用我们的微信小程序

热门题目

已复制到剪贴板