翰林刷题,免费考试真题网站!
首页
关于我们
首页
›
分类
› 详情
作者:高老师
时间:2024-07-28
浏览 0
A、4/3
B、7/3
C、23/3
D、26/3
【正确答案】:C
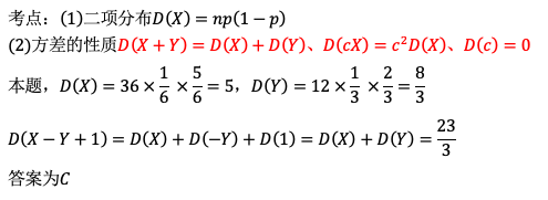
【题目解析】:
📱 扫码体验刷题小程序
扫一扫使用我们的微信小程序
热门题目
名词解释:展览会
论述我国社会主义道德建设以诚实守信为重点的现实意义
试述经济制度与经济体制的关系。
简述信息沟通的重要性。
根据国家统计局《工业生产者价格统计调查制度》的规定,选择代表性企业的原则有()
在一个保险公司中,一个经理把其组织设计成人寿保险、健康保险、汽车保险、家庭保险等不同的部分,其划分的依据是()
按纳税人的能力来分配税负,纳税能力高的多纳税,反之,少纳税,体现了现代西方税收的
在下列各项中,不属于我国企业财务会计信息质量要求的是 【 】
下列选项中,不属于一般账户格式应包括的内容的是()
按照马克思的观点法国古典经济学的创始人是
原文:He was used to being made fun of.译文:他常常被人取笑。
Copernicus believed in a heliocentric universe, rather than in t
➕
➖
📋
⬆️
已复制到剪贴板