翰林刷题,免费考试真题网站!
首页
关于我们
首页
›
分类
› 详情
作者:高老师
时间:2024-07-28
浏览 0
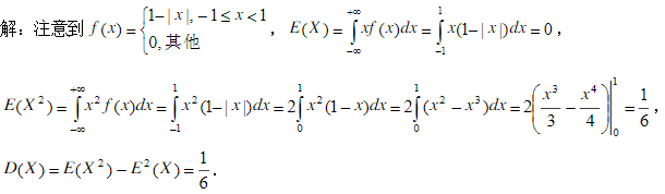
【正确答案】:
【题目解析】:
📱 扫码体验刷题小程序
扫一扫使用我们的微信小程序
热门题目
防火墙
简述管理信息系统的开发原则。
由10~15人组成,成员间工作业绩相关或相互依赖性,承担了以前由主管承担责任的团体是【】
根据我国公司法规定,公司流通在外的债券累计总额不得超过公司净资产额的
《等待戈多》的作者是( )
我国具体劳动模式的选择应该符合下列哪些标准或原则?( )
( )企业资金从一个银行向另一个银行账户转账的书面指令。
“爱养”
影响学前儿童心理健康的生物学原因包括( )
需求曲线
目前在Intenet中应用最广泛的网络应用编程接口是( )。
Translate the following words and phrases into English.外汇储备
➕
➖
📋
⬆️
已复制到剪贴板