试问X与Y是否相互独立?是否不相关?为什么?

作者:高老师 浏览 0

设二维随机变量(X,Y)的分布律为:

试问X与Y是否相互独立?是否不相关?为什么?
【正确答案】:

因为P{X=3,Y=3}≠P{X=3}P{Y=3},所以X、Y不相互独立。

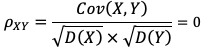
因为X、Y的相关系数为:


所以X、Y不相关。


【题目解析】:

📱 扫码体验刷题小程序

微信小程序二维码

扫一扫使用我们的微信小程序

热门题目

已复制到剪贴板