翰林刷题,免费考试真题网站!
首页
关于我们
首页
›
分类
› 详情
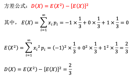
求D(X)
作者:高老师
时间:2024-07-28
浏览 0
设随机变量X的分布律为
求D(X)
【正确答案】:
【题目解析】:
📱 扫码体验刷题小程序
扫一扫使用我们的微信小程序
热门题目
形成洋流的主要动力是()
作为我国公民的基本权利之一,劳动权属于公民宪法权利中的
下列《祖国啊,我亲爱的祖国》中的诗句,象征贫穷落后给予祖国沉重负载的是( )
设函数y =ln sin x,则y″=____
请选出下面汉字对应的假名家族( )
简述ARP协议和RARP协议的要点。
在 Eclipse中,抽取常量位于菜单栏中的 菜单项中。
对工业制成品交易,一般在品质条款中灵活制定品质指标,通常使用()
存货的基础工作设计不包括()
某公司决定为几个子市场服务,设计不同的产品,并在渠道、促销和定价等方面都加以相应的改变,以适应各个子市场的需要。这种目标市场战略
简述宋元话本小说的题材内容。
➕
➖
📋
⬆️
已复制到剪贴板