翰林刷题,免费考试真题网站!
首页
关于我们
首页
›
分类
› 详情
作者:高老师
时间:2024-07-28
浏览 0
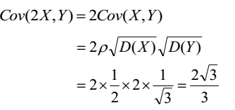
【正确答案】:
【题目解析】:
📱 扫码体验刷题小程序
扫一扫使用我们的微信小程序
热门题目
土地革命中采用的正确土地分配方法是()
一般而言,理想越高远,实现过程就越( )
在PowerPoint2010中,最常用的母版是 幻灯片母版
其他条件不变,劳动力供给增加时,均衡工资率会( )
企业出售的商品由于质量不符合要求而在售价基础上给予的减让是
swarm的意思是()
When you ______ your health, you are less worried about getting
在下列传统财务会计一般原则中,通货膨胀会计对其赋予新含义的原则是( )。
信息系统规划需要完成的四个基本的阶段不包括
在谈判中,每小时与对方接触次数最多的是
单相桥式整流电路如题33图所示,已知输出电压平均值Uo(AV)=18V,负载电流平均值Io(AV)=100mA。要求:(1)负载
在中国的社区研究中,李景汉和晏阳初主持的是()
➕
➖
📋
⬆️
已复制到剪贴板