翰林刷题,免费考试真题网站!
首页
关于我们
首页
›
分类
› 详情
作者:高老师
时间:2024-07-28
浏览 1
A、4
B、9
C、13
D、21
【正确答案】:D
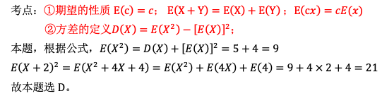
【题目解析】:
📱 扫码体验刷题小程序
扫一扫使用我们的微信小程序
热门题目
近代中国诞生的新兴的被压迫阶级是()
尼泊尔人忌用毛皮做任何物品。
简述国际市场研究方法的类型。
《中华人民共和国广告法》正式施行的日期是( )
根据研究的方式不同,可将学前教育科学研究分为纵向研究和_____。
对称矩阵是
某无形资产转让中,确定的销售利润分成率为40%,已知该类产品的销售利润率为20%,则该无形资产转让的销售收入分成率为()
评估无形资产转让的利润分成率有多种方法,主要方法包括()
渠道能够覆盖的区域大小,即渠道的覆盖范围是指
解题中具有可以同时进行运算或操作的特性,称为____。
承包合同价按照合同类型和计价方法分为哪几类?
简述创造性思维的特点。
➕
➖
📋
⬆️
已复制到剪贴板